2024年7月,北京工商大学白酒化学研究团队联合四川郎酒股份有限公司在国际食品TOP期刊《Journal of Agricultural and Food Chemistry》发表题为“Flavor perception and formation mechanism of empty cup aroma in soy sauce aroma type baijiu”的研究性论文。该论文的第一作者是秦丹博士,通讯作者是北京工商大学国酒研究院李贺贺副研究员。
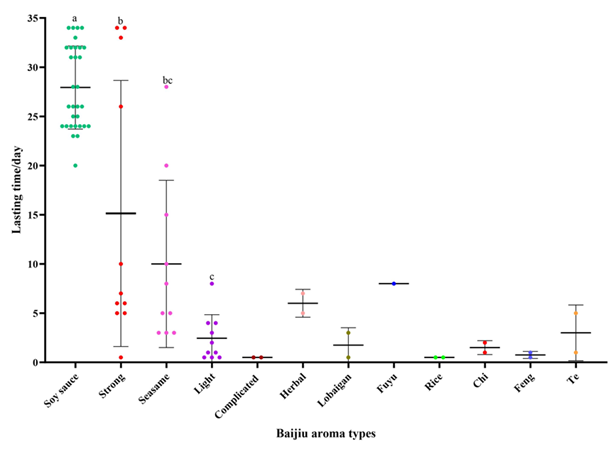
白酒是中国的国酒。在白酒十二大代表香型的国家标准中只有酱香型白酒明确提出了空杯留香持久的香气特征。空杯留香是酱香型白酒的典型特征,也是评价酱香型白酒品质的重要指标。本研究通过感官分析对十二大代表香型白酒的空杯留香时长进行研究,结果表明酱香型白酒的平均留香时长为28天(北方),明显高于其他香型白酒。
基于酱香型白酒空杯留香的特征香气成分及形成机制不清晰,课题组采用真空辅助吸附笔提取结合GC-MS对空杯留香的挥发性成分进行研究,筛选了乳酸、棕榈酸乙酯、己酸等6个化合物作为酱香型白酒空杯留香挥发性成分的标记物 (Qin D, Wu Z, Shen Y, et al. Characterization of empty cup aroma in Soy sauce aroma type Baijiu by vacuum assisted sorbent extraction[J]. Journal of Food Composition and Analysis, 2023,117:105147.) 。同时,采用分子感官科学结合现代仪器分析对空杯留香的特征香气成分进行研究,首次从酱香型白酒空杯中鉴定出关键香气成分葫芦巴内酯,研究结果表明乳酸可以促进葫芦巴内酯对空杯留香贡献 (Qin D, Lv S, Shen Y, et al. Decoding the key compounds responsible for the empty cup aroma of soy sauce aroma type baijiu[J]. Food Chemistry, 2024,434:137466.)。
在此基础上,本研究采用分子动力学模拟对酱香型白酒空杯留香的形成机制进行研究。通过香气提取物稀释分析 (AEDA)研究发现:葫芦巴内酯、2,3-二甲基-5-乙基吡嗪、苯乙醇、苯乙酸等对酱香型白酒的空杯留香具有重要的贡献。以53%的乙醇水溶液为基质,采用分子动力学模拟从液-气两相、固-气两相层面探究空杯留香的形成机制,结果表明:葫芦巴内酯和非挥发性化合物的代表乳酸之间存在氢键和范德华等相互作用力,推测乳酸截留和吸附以葫芦巴内酯为代表的空杯留香特征风味物质是造成空杯留香的重要原因。
图1 不同香型白酒空杯留香时长分析图 图2 酱香型白酒酒样和空杯的描述性香气分析雷达图 图3 乳酸和葫芦巴内酯在53%乙醇水溶液中的气-液两相模拟模型示意图 图4 乳酸和葫芦巴内酯之间的相互作用, 均方位移 (a); 氢键数目 (b); 独立梯度模型分析(c)

